量身定制
拒絕模板 定制風格

量身定制
拒絕模板 定制風格

軟裝搭配
細節搭配決定細節

“0增項”
您不增項 絕不加價

環保承諾
材料E0 環保檢測

一站式省心
消防空調軟轉全搞定
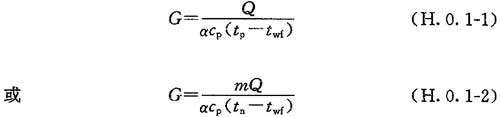
H.0.1 自然通風的通風量應按下列公式計算:

式中:G——自然通風的通風量(kg/h);
Q——散至室內的全部顯熱量(W);
cp——空氣的定壓比熱容,取1[kJ/(kg·℃)];
α——單位換算系數,對于法定計量單位,取0.28;
tp——排風溫度(℃),按本規范第H.0.2條確定;
tn——室內工作地點溫度(℃),按本規范第4.1.4條確定;
twf——夏季通風室外計算溫度(℃),按本規范第4.2.7條確定;
m——散熱量有效系數,按本規范第H.0.3條確定。
H.0.2 排風口溫度應根據不同情況,分別按下列規定采用:
1 有條件時,可按與夏季通風室外計算溫度的允許溫差確定;
2 室內散熱量比較均勻,且不大于116W/m3時,可按下式計算:

式中:△tH——溫度梯度(℃/m),按表H.0.2采用;
H——排風口中心距地面的高度(m)。
表H.0.2 溫度梯度△tH值(℃/m)

3 當采用m值時,可按下式計算:

H.0.3 散熱量有效系數m值宜按相同建筑物和工藝布置的實測數據采用,當無實測數據時,單跨生產廠房可按下式計算:

式中:m1——根據熱源占地面積f和地面面積F的比值,按圖H.0.3確定的系數;
m2——根據熱源的高度,按表H.0.3-1確定的系數;
m3——根據熱源的輻射散熱量Qf和總散熱量Q的比值,按表H.0.3-2確定的系數。

圖H.0.3 系數m1
表H.0.3-1 系數m2

表H.0.3-2 系數m3

H.0.4 進風口和排風口的面積應按下列公式計算:

式中:Fj、Fp——分別為進風口和排風口面積(m2);
Gj、Gp——分別為進風量和排風量(kg/h);
hj、hp——分別為進風口和排風口中心與中和界的高差(m);
ρwf——夏季通風室外計算溫度下的空氣密度(kg/m3);
ρp——排風溫度下的空氣密度(kg/m3);
ρnp——室內空氣的平均密度(kg/m3),按作業地帶和排風口處空氣密度的平均值采用;
ξj、ξp——分別為進風口和排風口的局部阻力系數;
g——重力加速度(取9.81m/s2)。
 
			   裝修熱線:
150-5025-6345
郵箱:
C15050256345@163.com
地址:
上海市沈磚公路5666號臨港科技城B-18F

免費量房

獲取案例

免費報價
 
			   辦公室裝修公眾號
聯 系 人:陳先生
聯系方式:150-5025-6345
聯系郵箱:C15050256345@163.com
公司地址:上海市沈磚公路5666號臨港科技城B-18F
主要為浦東、閔行、松江、奉賢、金山、青浦、嘉興、嘉善、蘇州、無錫、南通等上海周邊地區客戶提供辦公室裝修、辦公樓裝修設計、廠房裝修設計及工廠鋼結構搭建,無塵凈化車間裝飾裝修服務。