量身定制
拒絕模板 定制風格

量身定制
拒絕模板 定制風格

軟裝搭配
細節搭配決定細節

“0增項”
您不增項 絕不加價

環保承諾
材料E0 環保檢測

一站式省心
消防空調軟轉全搞定
5.1 一般規定
5.1.1 供暖方式的選擇應根據建筑物的功能及規模,所在地區氣象條件、能源狀況、能源政策、環保等要求,通過技術經濟比較確定。
5.1.2 累年日平均溫度穩定低于或等于5℃的日數大于或等于90d的地區,宜采用集中供暖。
5.1.3 符合下列條件之一的地區,有余熱可供利用或經濟條件許可時,可采用集中供暖:
1 累年日平均溫度穩定低于或等于5℃的日數為60d~89d;
2 累年日平均溫度穩定低于或等于5℃的日數不足60d,但累年日平均溫度穩定低于或等于8℃的日數大于或等于75d。
5.1.4 嚴寒地區和寒冷地區的工業建筑,在非工作時間或中斷使用的時間內,當室內溫度需要保持在0℃以上,而利用房間蓄熱量不能滿足要求時,應按5℃設置值班供暖。當工藝或使用條件有特殊要求時,可根據需要另行確定值班供暖所需維持的室內溫度。
5.1.5 位于集中供暖區的工業建筑,如工藝對室內溫度無特殊要求,且每名工人占用的建筑面積超過100m2時,宜在固定工作地點設置局部供暖,工作地點不固定時應設置取暖室。
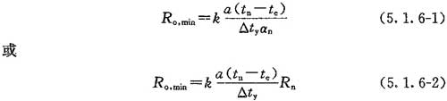
5.1.6 除外窗、陽臺門和天窗外,設置全面供暖的建筑物,其圍護結構的最小傳熱阻不得小于按下列公式計算所得值:

式中:Ro,min——圍護結構的最小傳熱阻(m2·℃/W);
tn——冬季室內計算溫度(℃),按本規范第4.1節和表5.1.6-1采用;
te——冬季圍護結構室外計算溫度(℃),按表5.1.6-2采用;
α——圍護結構溫差修正系數,按表5.1.6-3采用;
△ty——冬季室內計算溫度與圍護結構內表面溫度的允許溫差(℃),按表5.1.6-4采用;
αn——圍護結構內表面換熱系數[W/(m2·℃)],按表5.1.6-5采用;
Rn——圍護結構內表面換熱阻(m2·℃/W),按表5.1.6-5采用;
k——最小傳熱阻修正系數,磚石墻體取0.95,外門取0.60,其他取1。
表5.1.6-1 冬季室內計算溫度

注:tn為冬季室內計算溫度(℃),td為屋頂下的溫度(℃),tg為工作地點溫度(℃),tnp為室內平均溫度(℃),△th為溫度梯度(℃/m),H為房間高度(m)。
表5.1.6-2 冬季圍護結構室外計算溫度te(℃)

注:twn和te,min分別為供暖室外計算溫度和累年量低日平均溫度(℃)。
表5.1.6-3 溫差修正系數α

表5.1.6-4 允許溫差△ty值(℃)

注:1 室內空氣干濕程度的區分應根據室內溫度和相對濕度按表5.1.6-6確定。
2 與室外空氣相通的樓板和非供暖地下室上面的樓板,其允許溫差△ty值可采用2.5℃。
3 tn為冬季室內計算溫度,t1為在室內計算溫度和相對濕度狀況下的露點溫度(℃)。
表5.1.6-5 內表面換熱系數αn和換熱阻值Rn

注:h為肋高(m),s為肋間凈距(m)。
表5.1.6-6 室內空氣干濕程度的區分

5.1.7 集中供暖系統的熱媒應根據建筑物的用途、供熱情況和當地氣候特點等條件,經技術經濟比較確定,并應符合下列規定:
1 當廠區只有供暖用熱或以供暖用熱為主時,應采用熱水作熱媒;
2 當廠區供熱以工藝用蒸汽為主時,生產廠房、倉庫、公用輔助建筑物可采用蒸汽作熱媒,生活、行政輔助建筑物應采用熱水作熱媒;
3 利用余熱或可再生能源供暖時,熱媒及其參數可根據具體情況確定;
4 熱水輻射供暖系統的熱媒應符合本規范第5.4節的規定。
5.2 熱 負 荷
5.2.1 冬季供暖通風系統的熱負荷應根據建筑物下列耗熱量和得熱量確定。不經常的散熱量可不計算。經常而不穩定的散熱量應采用小時平均值。
1 圍護結構的耗熱量;
2 加熱由門窗縫隙滲入室內的冷空氣的耗熱量;
3 加熱由門、孔洞及相鄰房間侵入的冷空氣的耗熱量;
4 水分蒸發的耗熱量;
5 加熱由外部運入的冷物料和運輸工具的耗熱量;
6 通風耗熱量;
7 最小負荷班的工藝設備散熱量;
8 熱管道及其他熱表面的散熱量;
9 熱物料的散熱量;
10 通過其他途徑散失或獲得的熱量。
5.2.2 圍護結構的耗熱量應包括基本耗熱量和附加耗熱量。
5.2.3 圍護結構的基本耗熱量應按下式計算:

式中:Q——圍護結構的基本耗熱量(W);
α——圍護結構溫差修正系數,按本規范表5.1.6-3采用;
F——圍護結構的面積(m2);
K——圍護結構平均傳熱系數[W/(m2·℃)],按本規范公式(5.2.4)計算;
tn——供暖室內計算溫度(℃);
twn——供暖室外計算溫度(℃)。
5.2.4 圍護結構平均傳熱系數應按下式計算:

式中:K——圍護結構平均傳熱系數[W/(m2·℃)];
αn——圍護結構內表面換熱系數[W/(m2·℃)],按本規范表5.1.6-5采用;
αw——圍護結構外表面換熱系數[W/(m2·℃)),按表5.2.4-1采用;
δ——圍護結構主斷面各層材料厚度(m);
λ——圍護結構主斷面各層材料導熱系數[W/(m·℃)];
αλ——材料導熱系數的修正系數,按表5.2.4-2采用;
Rk——主斷面封閉的空氣間層的熱阻(m2·℃/W),按表5.2.4-3采用;
——考慮熱橋影響,對主斷面傳熱系數的修正系數。
表5.2.4-1 外表面換熱系數αw和換熱阻Rw值

表5.2.4-2 材料導熱系數的修正系數αλ

表5.2.4-3 封閉的空氣間層熱阻值Rk(m2·℃/W)

5.2.5 與相鄰房間的溫差大于或等于5℃時,應計算通過隔墻或樓板等的傳熱量。與相鄰房間的溫差小于5℃,但通過隔墻和樓板等的傳熱量大于該房間熱負荷的10%時,此項傳熱量應計入該房間熱負荷。
5.2.6 圍護結構的附加耗熱量應按其占基本耗熱量的百分率確定。各項附加(或修正)百分率選用宜符合下列規定:
1 圍護結構耗熱量朝向修正率應根據當地冬季日照率、輻射照度、建筑物使用和被遮擋等情況選用,宜符合下列規定:
1)北、東北、西北宜為0~10%,東、西宜為—5%,東南、西南宜為—10%~—15%,南宜為—15%~—30%;
2)冬季日照率小于35%的地區,東南、西南和南向的修正率宜采用—10%~0,東、西向可不修正。
2 在不避風的高地、河邊、海岸、曠野上的建筑物,以及城鎮、廠區內特別高出的建筑物,垂直的外圍護結構風力附加率取值宜為5%~10%。
3 短時間開啟的、無熱空氣幕的外門,外門附加率取值宜符合下列規定,其中n為建筑物的樓層數:
1)一道門宜為65%×n;
2)兩道門且有一個門斗時,宜為80%×n;
3)三道門且有兩個門斗時,宜為60%×n;
4)主要出入口宜為500%。
5.2.7 除樓梯間外的供暖房間高度大于4m時,圍護結構基本耗熱量可采用下列簡化的計算方法:
1 本規范式(5.2.3)中tn應采用室內設計溫度;
2 計算結果采用高度附加率修正。采用地面輻射供暖的房間,高度附加率取(H—4)%,且總附加率不宜大于8%;采用熱水吊頂輻射或燃氣紅外輻射供暖的房間,高度附加率取(H—4)%,且總附加率不宜大于15%;采用其他供暖形式的房間,高度附加率取2(H—4)%,且總附加率不宜大于15%。H為房間高度。
5.2.8 間歇時間較長,只要求在使用時間保持室內溫度時,可間歇供暖。間歇供暖應采用能快速反應的供暖系統,并應對房間供暖熱負荷進行附加,間歇附加率選取宜符合下列規定:
1 僅白天使用的房間不宜小于20%;
2 不經常使用的房間不宜小于30%。
5.2.9 加熱由門窗縫隙滲入室內的冷空氣的耗熱量應根據建筑物的內部隔斷、門窗構造、門窗朝向、室內外溫度和室外風速等因素確定,宜按本規范附錄F和附錄G進行計算,也可采用計算機模擬方法計算。
5.2.10 采用輻射供暖作局部供暖時,局部供暖的熱負荷應按全面輻射供暖的熱負荷乘以表5.2.10的計算系數確定。
表5.2.10 局部輻射供暖負荷計算系數
| 局部輻射供暖區面積與房間總面積的比值f | f≥0.75 | 0.55 | 0.40 | 0.25 | ≤0.20 | 
| 計算系數 | 1 | 0.72 | 0.54 | 0.38 | 0.30 | 
5.3 散熱器供暖
5.3.1 選擇散熱器時應符合下列規定:
1 應根據供暖系統的壓力要求確定散熱器的工作壓力,并應符合國家現行相關產品標準的規定;
2 放散粉塵或防塵要求較高的工業建筑應采用易于清掃的散熱器;
3 具有腐蝕性氣體的工業建筑或相對濕度較大的房間應采用耐腐蝕的散熱器;
4 采用鋼制散熱器時應滿足產品對水質的要求,在非供暖季節供暖系統應充水保養;
5 采用鋁制散熱器時,應選用內防腐型鋁制散熱器,并應滿足產品對水質的要求;
6 蒸汽供暖系統不應采用板型和扁管型散熱器,并不應采用薄鋼板加工的鋼制柱型散熱器;
7 安裝熱量表和恒溫閥的熱水供暖系統采用鑄鐵散熱器時,應采用內腔無砂型;
8 應采用外表面刷非金屬性涂料的散熱器。
5.3.2 布置散熱器時應符合下列規定:
1 散熱器宜安裝在外墻窗臺下;
2 兩道外門之間的門斗內不應設置散熱器;
3 樓梯間的散熱器宜布置在底層或按一定比例分配在下部各層。
5.3.3 散熱器應明裝。確實需要暗裝時,裝飾罩應有合理的氣流通道、足夠的通道面積,并應方便維修。
5.3.4 鑄鐵散熱器的組裝片數宜符合下列規定:
1 粗柱型不宜超過20片;
2 細柱型不宜超過25片;
3 長翼型不宜超過7片。
5.3.5 確定散熱器數量時,應根據其連接方式、安裝形式、組裝片數、熱水流量以及表面涂料等對散熱量的影響,對散熱器數量進行修正。
5.3.6 供暖系統中明裝的不保溫干管或支管,其散熱量應計為有效供暖量。供暖管道暗裝時,應采取減少無效熱損失的措施。
5.3.7 建筑物熱水供暖系統高度超過50m時,宜豎向分區設置。
5.3.8 垂直單管和垂直雙管供暖系統,同一房間的兩組散熱器可采用異側連接的水平單管串聯的連接方式,也可采用上下接口同側連接方式。當采用上下接口同側連接方式時,散熱器之間的上下連接管應與散熱器接口同徑。
5.3.9 有凍結危險的場所,其散熱器的供暖立管或支管應單獨設置,且散熱器前后不應設置閥門。
5.4 熱水輻射供暖
5.4.1 低溫熱水輻射供暖系統供水溫度不應超過60℃;供回水溫差不宜大于10℃,且不宜小于5℃。輻射體的表面平均溫度宜符合表5.4.1的規定。
表5.4.1 輻射體表面平均溫度(℃)

5.4.2 確定地面散熱量時,應校核地面表面平均溫度,且不宜高于本規范表5.4.1的溫度上限值;當由于地面平均溫度低而使得地面輻射供暖系統供暖量小于建筑物熱負荷時,應通過改善建筑熱工性能減小建筑物熱負荷,或同時設置其他供暖設備。
5.4.3 低溫熱水地面輻射供暖的有效散熱量應經計算確定,并應計算室內設備等地面覆蓋物對散熱量的折減。
5.4.4 供暖輻射地面絕熱層的設置應符合下列規定:
1 當與土壤接觸的底層地面作為輻射地面時,應設置絕熱層。設置絕熱層時,絕熱層與土壤之間應設置防潮層。
2 加熱管及其覆蓋層與外墻之間應設置絕熱層。
3 當不允許樓板雙向傳熱時,樓板結構層間應設置絕熱層。
4 直接與室外空氣接觸的樓板或與不供暖房間相鄰的地板作為供暖輻射地面時,應設置絕熱層。
5 潮濕房間的混凝土填充式供暖地面的填充層上、預制溝槽保溫板或預制輕薄供暖板供暖地面的面層下應設置隔離層。
5.4.5 低溫熱水地面輻射供暖系統敷設加熱管的覆蓋層厚度不宜小于50mm。構造層應設置伸縮縫,伸縮縫的位置、距離及寬度應會同相關專業計算確定。加熱管穿過伸縮縫時,宜設置長度不小于100mm的柔性套管。
5.4.6 生產廠房、倉庫、生產輔助建筑物采用地面輻射供暖時,地面承載力應滿足建筑的需要,地面構造應會同土建專業共同確定。
5.4.7 加熱管的敷設管間距應根據地面散熱量、室內設計溫度、平均水溫及地面傳熱熱阻等通過計算確定。
5.4.8 每個環路加熱管的進、出水口應分別與分水器、集水器相連接。分水器、集水器內徑不應小于總供、回水管內徑,且分水器、集水器最大斷面流速不宜大于0.8m/s。每個分水器、集水器分支環路不宜多于8路。每個分支環路供、回水管上均應設置可關斷閥門。
5.4.9 在分水器的總進水管與集水器的總出水管之間宜設置旁通管,旁通管上應設置閥門。分水器、集水器上均應設置手動或自動排氣閥。
5.4.10 低溫熱水地面輻射供暖系統的阻力應計算確定。加熱管內水的流速不應小于0.25m/s,同一集配裝置的每個環路加熱管長度應接近,每個環路的阻力不宜超過30kPa。低溫熱水地面輻射供暖系統分水器前應設置閥門及過濾器,集水器后應設置閥門;系統配件應采用耐腐蝕材料。
5.4.11 低溫熱水地面輻射供暖系統的工作壓力應根據選用管道的材質、壁厚、介質溫度和使用壽命等因素確定,不宜大于0.8MPa;當工作壓力超過0.8MPa時,應采取相應的措施。
5.4.12 輻射供暖加熱管的材質和壁厚的選擇應根據工程的耐久年限、管材的性能、管材的累計使用時間,以及系統的運行水溫、工作壓力等條件確定。
5.4.13 熱水吊頂輻射板供暖可用于層高為3m~30m建筑物的供暖。
5.4.14 熱水吊頂輻射板的供水溫度,宜采用40℃~130℃的熱水,其水質應滿足產品的要求。在非供暖季節,供暖系統應充水保養。
5.4.15 熱水吊頂輻射板散熱量應根據其安裝角度、循環水量進行修正,修正系數應符合下列規定:
1 熱水吊頂輻射板傾斜安裝時,散熱量修正系數應按表5.4.15取值;
2 輻射板的管中流體應為紊流,達不到最小流量要求時,輻射板的散熱量應在其標準散熱量的基礎上加以修正,修正系數應取0.85~0.90。
表5.4.15 輻射板安裝角度修正系數
| 輻射板與水平面的夾角(°) | 0 | 10 | 20 | 30 | 40 | 
| 修正系數 | 1 | 1.022 | 1.043 | 1.066 | 1.088 | 
5.4.16 熱水吊頂輻射板的安裝高度應根據人體的舒適度確定。輻射板的最高平均水溫應根據輻射板安裝高度和其面積占天花板面積的比例按表5.4.16確定。
表5.4.16 熱水吊頂輻射板最高平均水溫(℃)

注:表中安裝高度系指地面到板中心的垂直距離(m)。
5.4.17 熱水吊頂輻射板與供暖系統供、回水管的連接方式可采用并聯或串聯、同側或異側連接,并應采取使輻射板表面溫度均勻、流體阻力平衡的措施。
5.4.18 布置全面供暖的熱水吊頂輻射板裝置時,應使室內作業區輻射照度均勻,并應符合下列規定:
1 安裝吊頂輻射板時,宜沿最長的外墻平行布置;
2 設置在墻邊的輻射板規格應大于在室內設置的輻射板規格;
3 層高小于4m的建筑物,宜選擇較窄的輻射板;
4 房間應預留輻射板沿長度方向熱膨脹的余地;
5 輻射板裝置不應布置在對熱敏感的設備附近。
5.5 燃氣紅外線輻射供暖
5.5.1 無電氣防爆要求的場所,技術經濟比較合理時,可采用燃氣紅外線輻射供暖。采用燃氣紅外線輻射供暖時,應符合下列規定:
1 易燃物質可能出現的最高濃度不超過爆炸下限值的10%時,燃燒器宜設置在室外;
2 燃燒器設置在室內時,應采取通風安全措施,并應符合現行國家標準《城鎮燃氣設計規范》GB 50028的相關規定。
5.5.2 燃氣紅外線輻射供暖嚴禁用于甲、乙類生產廠房和倉庫。
5.5.3 燃氣紅外線輻射供暖系統的燃料應符合城鎮燃氣質量要求,宜采用天然氣,可采用液化石油氣、人工煤氣等。燃氣入口壓力應與燃燒器所需壓力相適應。燃料應充分氣化,在嚴寒、寒冷地區采用液化石油氣時,應采取防止燃氣因管道敷設環境溫度低而再次液化的措施。燃氣質量、燃氣輸配系統應符合現行國家標準《城鎮燃氣設計規范》GB 50028的規定。
5.5.4 采用燃氣紅外線輻射供暖時,熱負荷應按本規范第5.2節的有關規定進行計算,室內計算溫度宜低于對流供暖室內空氣溫度2℃~3℃。當由室內向燃燒器提供空氣時,還應計算加熱該空氣量所需的熱負荷。
5.5.5 燃氣紅外線輻射加熱器的安裝高度應符合下列規定:
1 應根據加熱器的輻射強度、安裝角度由生產工藝要求及人體舒適度確定。除工藝特殊要求外,不應低于3m。
2 用于固定工作地點供暖時,宜安裝在人體的側上方。
3 當安裝高度超過額定供熱量的最大高度時,應對加熱器的總輸入熱量進行附加修正。
5.5.6 采用燃氣紅外線輻射供暖進行全面供暖時,加熱器宜沿外墻布置,且加熱器散熱量不宜少于總熱負荷的60%。
5.5.7 當燃燒器所需要的空氣量超過按廠房0.5次/h換氣計算所得的空氣量時,其補風應直接來自室外。
5.5.8 燃氣紅外線輻射供暖系統采用室外進氣時,進風口設置應符合本規范第6.3節的相關要求。
5.5.9 燃氣紅外線輻射供暖系統的尾氣宜通過排氣管直接排至室外,其室外排氣口應符合下列規定:
1 應設置在人員不經常通行的地方,距地面高度不應小于2m;
2 水平安裝的排氣管,其排氣口伸出墻面不宜小于0.3m,且排氣口距可開啟門、窗的距離不應小于3m;
3 垂直安裝的排氣管,其排氣口高出本建筑屋面不宜小于1m,且排氣口距可開啟門、窗的距離不應小于3m;
4 排氣管穿越外墻或屋面處應加裝金屬套管。
5.5.10 燃氣紅外線輻射供暖系統燃燒尾氣直接排放在室內時,廠房上部應設置排風設施,宜采用機械排風方式。排風量應根據加熱器的總輸入功率和燃氣種類經計算確定,宜為20m3/(h·kW)~30m3/(h·kW)。當廠房凈高小于6m時,尚應滿足換氣次數不小于0.5次/h的要求。
5.5.11 燃氣紅外線輻射供暖系統應在便于操作的位置設置能直接切斷供暖系統及燃氣供應系統的控制裝置。利用通風機提供燃燒所需空氣或排除燃燒尾氣時,通風機與供暖系統應連鎖。
5.5.12 燃氣紅外線輻射供暖系統的燃燒器安裝在廠房內時,燃氣系統的相關安全措施除應符合本規范的規定外,尚應符合現行國家標準《城鎮燃氣設計規范》GB 50028的相關規定。
5.6 熱風供暖及熱空氣幕
5.6.1 符合下列條件之一時,應采用熱風供暖:
1 能與機械送風系統結合時;
2 利用循環空氣供暖,技術經濟合理時;
3 由于防火、防爆和衛生要求,需要采用全新風的熱風供暖時。
5.6.2 當采用燃氣、燃油或電加熱空氣時,熱風供暖應符合現行國家標準《城鎮燃氣設計規范》GB 50028和《建筑設計防火規范》GB 50016的有關規定。
5.6.3 工業建筑采用熱風供暖時,應采取減小沿高度方向的溫度梯度的措施,并應符合下列規定:
1 熱風供暖系統或運行裝置不宜少于兩臺。一臺裝置的最小供熱量應保持非工作時間工藝所需的最低室內溫度,且不得低于5℃。
2 高于10m的空間采用熱風供暖時,應采取自上向下的強制對流措施。
5.6.4 選擇暖風機或空氣加熱器時,其散熱量應留有20%~30%的裕量。
5.6.5 采用暖風機熱風供暖時,應符合下列規定:
1 應根據廠房內部的幾何形狀、工藝設備布置情況及氣流作用范圍等因素,設計暖風機臺數及位置;
2 室內空氣的循環次數宜大于或等于1.5次/h;
3 熱媒為蒸汽時,每臺暖風機應單獨設置閥門和疏水裝置。
5.6.6 采用集中送熱風供暖時,應符合下列規定:
1 工作區的風速應按本規范第4.1.2條的規定確定,但最小平均風速不宜小于0.15m/s;送風口的出口風速應通過計算確定,可采用5m/s~15m/s;
2 送風溫度不宜低于35℃,并不得高于70℃。
5.6.7 符合下列條件之一的外門宜設置熱空氣幕:
1 位于嚴寒地區、寒冷地區,經常開啟,且不設門斗和前室時;
2 當生產工藝要求不允許降低室內溫度時或經技術經濟比較設置熱空氣幕合理時。
5.6.8 設置熱空氣幕時,應符合下列規定:
1 大門寬度小于3m時,宜采用單側送風;大門寬度為3m~18m時,可采用單側、雙側或頂部送風;大門寬度超過18m時,宜采用頂部送風。
2 熱空氣幕的送風溫度應根據計算確定,不宜高于50℃。對于高大的外門,不應高于70℃。
3 熱空氣幕的出口風速應通過計算確定,不宜大于8m/s。高大的外門,熱空氣幕的出口風速不宜大于25m/s。
5.7 電熱供暖
5.7.1 電供暖散熱器的形式、電氣安全性能和熱工性能應滿足使用要求及相關規定。
5.7.2 低溫加熱電纜輻射供暖宜采用地板式,低溫電熱膜輻射供暖宜采用頂棚式。輻射體表面平均溫度應符合本規范第5.4.1條的相關規定。
5.7.3 低溫加熱電纜輻射供暖和低溫電熱膜輻射供暖的加熱元件及其表面工作溫度,應符合國家現行標準《額定電壓300/500V生活設施加熱和防結冰用加熱電纜》GB/T 20841和《低溫輻射電熱膜》JG/T 286的有關安全的規定。
5.7.4 低溫加熱電纜輻射供暖系統和低溫電熱膜輻射供暖系統應設置溫控裝置。
5.7.5 采用低溫加熱電纜地面輻射供暖方式時,加熱電纜的線功率不宜大于17W/m,且電纜布置時應避開無支腿家具占壓區域,當面層采用帶龍骨的架空木地板時,應采取散熱措施,且加熱電纜的線功率不應大于10W/m。
5.7.6 電熱膜輻射供暖安裝功率應滿足房間所需散熱量的要求。在頂棚上布置電熱膜時,應為燈具、煙感器、消防噴頭、風口、音響等留出安裝位置。
5.8 供暖管道
5.8.1 供暖管道的材質應根據其工作溫度、工作壓力、使用壽命、施工與環保性能等因素,經技術經濟比較后確定,其質量應符合國家現行相關產品標準的規定。明裝管道不宜采用非金屬管材。
5.8.2 散熱器供暖系統的供水、回水、供汽和凝結水管道在熱力入口處與下列系統宜分開設置:
1 通風、空氣調節系統;
2 熱風供暖和熱空氣幕系統;
3 地面輻射供暖系統;
4 生產供熱系統;
5 生活熱水供應系統;
6 其他需要單獨熱計量的系統。
5.8.3 熱水型熱力入口的配置應符合下列規定:
1 供水、回水管道上應分別設置關斷閥、過濾器、溫度計、壓力表;
2 供水、回水管之間應設置循環管,循環管上應設置關斷閥;
3 應根據水力平衡要求和建筑物內供暖系統的調節方式設置水力平衡裝置。
5.8.4 高壓蒸汽型熱力入口的配置應符合下列規定:
1 供汽管道上應設置關斷閥、過濾器、減壓閥、安全閥、壓力表,過濾器及減壓閥應設置旁通;
2 凝結水管道上應設置關斷閥、疏水器。單臺疏水器安裝時應設置旁通管,多臺疏水器并聯安裝時宜設置旁通管。疏水器后應根據需要設置止回閥。
5.8.5 高壓蒸汽供暖系統最不利環路的供汽管,其壓力損失不應大于起始壓力的25%。供暖系統最不利環路的比摩阻宜符合下列規定:
1 高壓蒸汽系統(汽水同向)宜保持在100Pa/m~350Pa/m;
2 高壓蒸汽系統(汽水逆向)宜保持在50Pa/m~150Pa/m;
3 低壓蒸汽系統宜保持在50Pa/m~100Pa/m;
4 蒸汽凝結水余壓回水宜為150Pa/m。
5.8.6 室內熱水供暖系統總供回水壓差不宜大于50kPa。應減少熱水供暖系統各并聯環路之間的壓力損失的相對差額,當超過15%時,應設置調節裝置。
5.8.7 供暖系統供水、供汽干管的末端和回水干管始端的管徑不應小于20mm。
5.8.8 室內供暖管道中的熱媒流速應根據熱水或蒸汽的資用壓力、系統形式、防噪聲要求等因素確定,最大允許流速應符合下列規定:
1 熱水供暖系統室內供暖管道最大允許流速應符合下列規定:
1)生活、行政輔助建筑物應為2m/s;
2)生產廠房、倉庫,公用輔助建筑物應為3m/s。
2 低壓蒸汽供暖系統最大允許流速應符合下列規定:
1)汽水同向流動時應為30m/s;
2)汽水逆向流動時應為20m/s。
3 高壓蒸汽供暖系統最大允許流速應符合下列規定:
1)汽水同向流動時應為80m/s;
2)汽水逆向流動時應為60m/s。
5.8.9 機械循環雙管熱水供暖系統應對水在散熱器和管道中冷卻而產生自然作用壓力的影響采取相應的技術措施。
5.8.10 供暖系統計算壓力損失的附加值宜采用10%。
5.8.11 蒸汽供暖系統的凝結水回收方式應根據二次蒸汽利用的可能性以及室外地形、管道敷設方式等情況,分別采用下列回水方式:
1 閉式滿管回水;
2 開式水箱自流或機械回水;
3 余壓回水。
5.8.12 高壓蒸汽供暖系統,疏水器前的凝結水管不應向上抬升;疏水器后的凝結水管向上抬升的高度應經計算確定。當疏水器本身無止回功能時,應在疏水器后的凝結水管上設置止回閥。
5.8.13 疏水器至回水箱或二次蒸發箱之間的蒸汽凝結水管應按汽水乳狀體進行計算。
5.8.14 供暖系統各并聯環路應設置關閉和調節裝置。當有凍結危險時,立管或支管上的閥門至干管的距離不應大于120mm。
5.8.15 多層和高層建筑的熱水供暖系統中,每根立管和分支管道的始末段均應設置調節、檢修和泄水用的閥門。
5.8.16 熱水和蒸汽供暖系統應根據不同情況設置排氣、泄水、排污和疏水裝置。
5.8.17 供暖管道必須計算其熱膨脹。當利用管段的自然補償不能滿足要求時,應設置補償器。
5.8.18 供暖管道宜有坡敷設。對于熱水管、汽水同向流動的蒸汽管和凝結水管,坡度宜采用0.003,不得小于0.002;立管與散熱器連接的支管,坡度不得小于0.01;對于汽水逆向流動的蒸汽管,坡度不得小于0.005。當受條件限制時,熱水管道(包括水平單管串聯系統的散熱器連接管)可無坡度敷設,但管中的水流速度不宜小于0.25m/s。
5.8.19 穿過建筑物基礎、變形縫的供暖管道,以及埋設在建筑構造里的管道,應采取預防由于建筑物下沉而損壞管道的措施。
5.8.20 當供暖管道確需穿過防火墻時,在管道穿過處應采取防火封堵措施,并應在管道穿過處采取使管道可向墻的兩側伸縮的固定措施。
5.8.21 供暖管道不得與輸送蒸氣燃點不高于120℃的可燃液體管道,或輸送可燃、腐蝕性氣體的管道在同一條管溝內平行或交叉敷設。
5.8.22 符合下列情況之一時,供暖管道應保溫:
1 管道內輸送的熱媒必須保持一定參數時;
2 管道敷設在地溝、技術夾層、悶頂及管道井內或易被凍結的地方;
3 管道通過的房間或地點要求保溫時;
4 管道的無益熱損失較大時;
5 人員易觸碰燙傷的部位。
5.9 供暖熱計量及供暖調節
5.9.1 集中供暖系統應按能源管理要求設置熱量表。
5.9.2 熱量表的設置應滿足各成本核算單位分攤供暖費用的需要,并應符合下列規定:
1 熱源處應設置總熱量表;
2 用戶端宜按成本核算單位、單體建筑或供暖系統分設熱量表;
3 計量裝置準確度等級應符合現行國家標準《用能單位能源計量器具配備和管理通則》GB 17167的有關規定。
5.9.3 熱量表的選型和設置應符合下列規定:
1 熱量表應根據公稱流量選型,并應校核在系統設計流量下的壓降。公稱流量可按設計流量確定。
2 熱量表的流量傳感器、壓力表、溫度計的安裝位置應符合儀表安裝要求。
5.0.4 供暖熱源處應設置供熱調節裝置,并應根據氣象條件、用戶需求進行調節。
5.9.5 對于需要分室自動控制室溫的散熱器供暖系統,選用散熱器恒溫控制閥應符合下列規定:
1 當室內供暖系統為垂直或水平雙管系統時,應在每組散熱器的供水支管上安裝高阻恒溫控制閥;
2 單管跨越式系統應采用低阻力兩通恒溫控制閥或三通恒溫控制閥;
3 當散熱器有罩時,應采用溫包外置式恒溫控制閥。
5.9.6 熱力入口處設置的流量或壓力調節裝置應與整個供暖系統的調節目標相適應;當室內供暖系統為變流量系統時,不應設置自力式流量控制閥。
 
			   裝修熱線:
150-5025-6345
郵箱:
C15050256345@163.com
地址:
上海市沈磚公路5666號臨港科技城B-18F

免費量房

獲取案例

免費報價
 
			   辦公室裝修公眾號
聯 系 人:陳先生
聯系方式:150-5025-6345
聯系郵箱:C15050256345@163.com
公司地址:上海市沈磚公路5666號臨港科技城B-18F
主要為浦東、閔行、松江、奉賢、金山、青浦、嘉興、嘉善、蘇州、無錫、南通等上海周邊地區客戶提供辦公室裝修、辦公樓裝修設計、廠房裝修設計及工廠鋼結構搭建,無塵凈化車間裝飾裝修服務。